Saturday, December 11, 2021

Contoh Surat Permohonan Pindah Tugas Bagi Pns

December 11, 2021

Contoh Surat Permohonan Pindah Tugas Bagi Pns. Tapi yang jelas selain surat pindah ada beberapa dokumen yang harus anda sertakan agar bagian kepegawaian dapat mengkaji dan. Kumpulan contoh surat permohonan pindah tugas atau mutasi pns, guru, honorer, polri antar polres, kecamatan, kabupaten, provinsi & instansi.

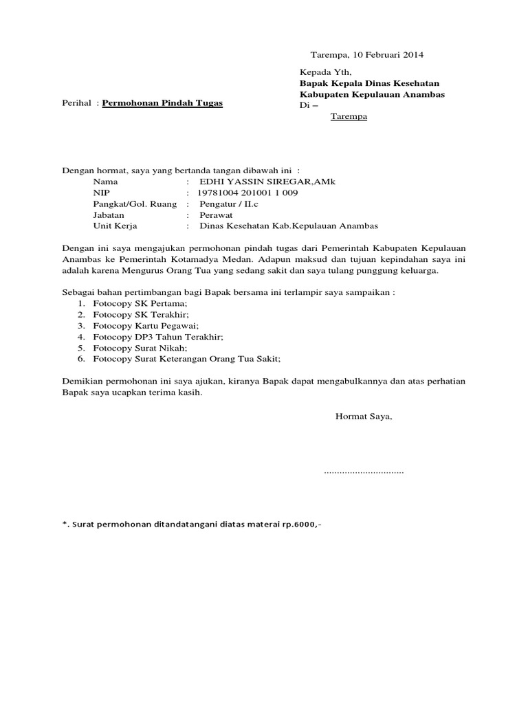
File Permohonan Pindah Tugas
File Permohonan Pindah Tugas from www.scribd.com

Analisis jabatan dan analisis beban kerja terhadap jabatan pns yang akan mutasi; Surat harus memiliki gaya bahasa yang mudah dibaca dan dipahami khususnya surat resmi. Cara mengajukan surat permohonan pindah tugas dosen.

Dijelaskan Pula Bahwa, Guru Adalah Pendidik Profesional Dengan Tugas Utama.


Bagi dosen non pns, tentunya tidak menghadapi kesulitan yang berarti untuk mengajukan permohonan pindah tugas. Pindah atau mutasi bagi pegawai negeri sipil merupakan salah satu bentuk pembinaan pegawai negeri. Misalnya mengikuti suami, atau alasan lainnya.

Merujuk Pp Nomor 19 Tahun 2019 Tentang Guru, Dijelaskan Bahwa Guru Sebagai Tenaga Profesional Memiliki Peran Strategis Untuk Mewujudkan Visi Penyelenggaraan Pembelajaran Sesuai Dengan Prinsip Profesionalitas.


Contoh surat permohonan pindah tugas pns dan guru format 768 x 994 pixel. Jika anda ingin pindah tugas antar kabupaten maka bisa mengajukan surat permohonan pindah kerja pns antar kabupaten. Namun pada beberapa kasus, anda pun bisa mengajukan permohonan pindah tugas, terutama untuk pns.

Bagian Kerja Sama Dalam Negeri.


Download download contoh surat pernyataan tidak mengajukan pindah format 669 x 379 pixel. Contoh surat permohonan pindah tugas pns. Nah penting diketahui juga bahwa mutasi kerja atau pindah tugas pns ini dilakukan atas keinginan pribadi atau dinas terkait yang menginginkan pns tersebut.

Contoh Surat Permohonan Pindah Tugas Pns.


Alasan pengajuan mutasi variatif, misalnya pindah domisili, alasan kesehatan, urusan keluarga, dan. Berikut informasi sepenuhnya tentang surat permohonan pindah tugas pns antar instansi. Surat permohonan pindah tugas pns rantauprapat, 6 januari 2009 kepada yth.

10 Contoh Surat Permohonan Mutasi Kerja Pns Karyawan Swasta Maupun Guru.


Bagi kamu yang bekerja sebagai pns, surat tersebut perlu. Demikianlah contoh surat permohonan pindah tugas mutasi wilayah pns ini yang dapat saya bagikan semoga dan berguna dan bermanfaat bagi yang membutuhkan. Sebelum membuat surat rekomendasi ini biasanya sekolah yang dituju sudah dihubungi terlebih dahulu, apakah benar jika sekolah tersebut bisa menampung guru baru.

Thanks for reading Contoh Surat Permohonan Pindah Tugas Bagi Pns

Related Posts

Your Comments

No comments:

Post a Comment

Copyright © Ilmu Sosial. All rights reserved. Template by CB Blogger